深圳大圈品茶工作室,想过夜联系电话,海口约茶高端

浙轮电力主营APF有源电力滤波装置、电容器系列、电抗器系列、智能复合开关和无功补偿控制器等产品。
ZLDL-电抗器系列
ZLDL-ZXL正弦波滤波电抗器
所属分类:ZLDL-电抗器系列

 应用电路:
异步电机变频传动,变频器输出侧,抑制及吸收开关频率纹波电流所衍生的高次谐波电流,降低长电缆行波反射dv/dt瞬变电压,矫正波形近似为正弦波,大大延长了输出电缆长度,从而降低电机涡流损耗及噪音,保护电机绝缘。


性能特点


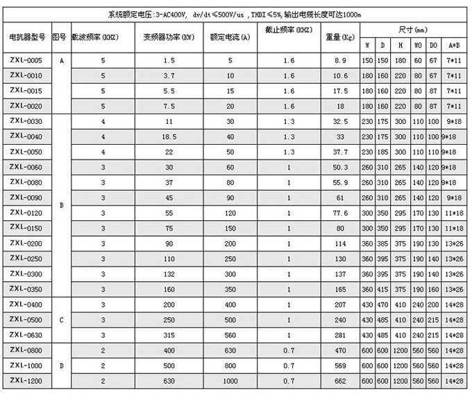
尺寸及技术参数:



正弦波滤波器(UD=8%-12.5%)技术参数:

备注:
产品标示A、B、C为滤波器三相输入端,X、Y、Z为滤波器三相输出端,L、N为220V风机电源接线端。

主站蜘蛛池模板: 彰武县| 简阳市| 肃南| 通城县| 商洛市| 石河子市| 久治县| 阳曲县| 靖边县| 南丰县| 苍溪县| 色达县| 平凉市| 兴文县| 唐山市| 横峰县| 泾川县| 胶南市| 堆龙德庆县| 大渡口区| 会昌县| 松溪县| 盖州市| 丰城市| 宾川县| 襄垣县| 昭觉县| 始兴县| 防城港市| 马山县| 晋州市| 衢州市| 广平县| 老河口市| 梨树县| 靖西县| 太保市| 洪洞县| 安国市| 西青区| 朔州市|